| № | Атауы | Жүктеу |
|---|---|---|
| 1 | Бұйрық №3 29 қыркүйек | ![]() |
| 2 | Өзін-өзі бағалау жоспары | ![]() |
| 3 | Пед кеңес өзін-өзі бағалау №2 қыркүйек | ![]() |
| 4 | Сауалнама | ![]() |
| 5 | Аттаестация бағалау парағы | ![]() |
| 6 | Бұйрық | ![]() |
| 7 | Өзің өзі бағалау | ![]() |
View the embedded image gallery online at:
https://hrom-akbota.edugov.kz/kz/zin-zi-attestattau.html#sigFreeIdae03084fde
https://hrom-akbota.edugov.kz/kz/zin-zi-attestattau.html#sigFreeIdae03084fde
Педагогикалық әдеп
View the embedded image gallery online at:
https://hrom-akbota.edugov.kz/kz/zin-zi-attestattau.html#sigFreeId365444f169
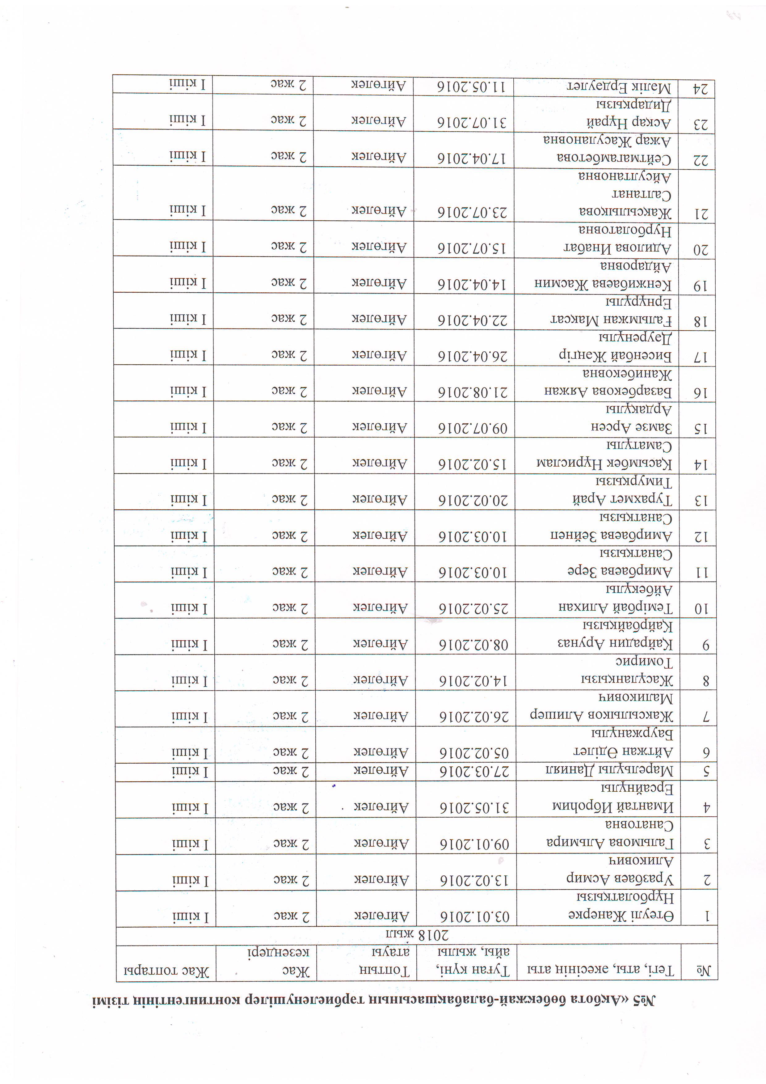
№5 "Ақбота" бөбекжай-балабақшасының
тәрбиеленушілер контингентінің тізімі
View the embedded image gallery online at:
https://hrom-akbota.edugov.kz/kz/zin-zi-attestattau.html#sigFreeIdcae9b7eb9a
2019ж
View the embedded image gallery online at:
https://hrom-akbota.edugov.kz/kz/zin-zi-attestattau.html#sigFreeIdcb8b096bf1
https://hrom-akbota.edugov.kz/kz/zin-zi-attestattau.html#sigFreeIdcb8b096bf1
2020ж
View the embedded image gallery online at:
https://hrom-akbota.edugov.kz/kz/zin-zi-attestattau.html#sigFreeId108201b533
https://hrom-akbota.edugov.kz/kz/zin-zi-attestattau.html#sigFreeId108201b533







